scaling_relation
Type: Calculation/Computational Sample show more
ObjectId: 35899
Created: 11/10/2025 12:35:01 AM by A06) Dhaka Kapil [kapil.dhaka@uni-due.de]
Access: Public Sort Code (asc): 0
License: CC BY 4.0
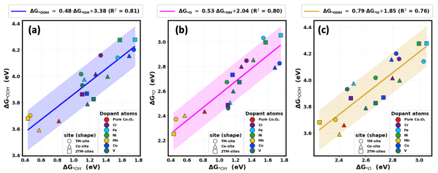
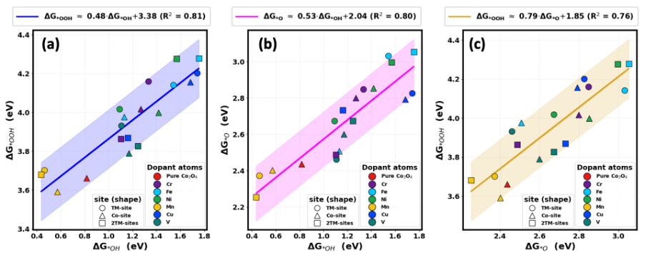
Description: Linear scaling relationships between the OER intermediates (*OH, *O, and *OOH) for pristine and TM-doped Co3O4. (a) dG*OH vs dG*OOH, (b) dG*O vs dG*OH and (c). dG*OOH vs dG*O. Each data point corresponds to a specific dopant atom (Fe, Ni, Cr, Mn, Cu, V, or undoped Co3O4) and an active site type (TM, Co, and 2TM). The fitted regression lines are shown with confidence intervals (shaded regions), along with the slope, intercept, and coefficient of determination (R2).
File attached: ScalingRelation.png 154.6 Kb
: Co-O
Referenced Objects (Reverse Association)
-
ChemRxiv 2025 (Dhaka)
PublicationK. Dhaka, H. M. A. Amin, D. Beschi, D. Schellenburg, B. Mockenhaupt, S. Barcikowski, S. Schulz, K. S. Exner, “Unifying Scaling Relations and Multiple Reaction Mechanisms for Screening 3d Transition-Metal-Doped Co₃O₄ for the Oxygen Evolution Reaction,” ChemRxiv , 2025, DOI: 10.26434/chemrxiv-2025-vnm2f.
unifying-scaling-relations-and-multiple-reaction-mechanisms-for-screening-transition-metal-doped-co3o4-for-oxygen-evolution-reaction.pdf
All properties (except table)
No properties found